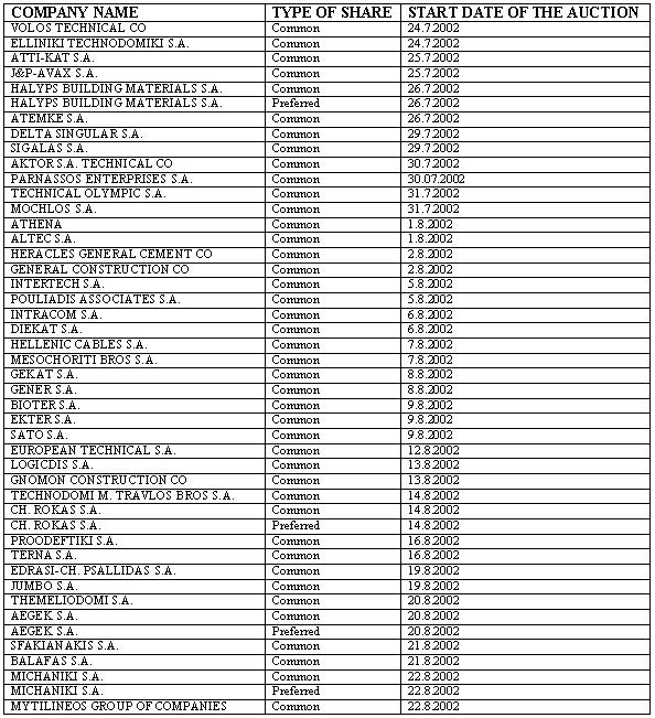
Auction schedule

CENTRAL SECURITIES DEPOSITORY

The CSD, according to the Law 2992/2002 and Regulation no 4/246/18.6.2002 of the Capital Market Commission, announces that the auction schedule for the bearer shares that were converted into registered shares and whose holder remains unknown to the issuer company is the following:

.